Minit Mesyuarat Panitia Sains Kali Pertama 2020 Flip Ebook Pages 1 6 Anyflip Anyflip

Minit Mesyuarat Panitia Sains Kali Pertama 2020 Flip Ebook Pages 1 6 Anyflip Anyflip

Minit Pertama Panitia Sains 2020 Pages 1 5 Flip Pdf Download Fliphtml5

Minit Pertama Panitia Sains 2020 Pages 1 5 Flip Pdf Download Fliphtml5

Minit Mesyuarat Panitia Sains Bil1 2018 Flip Ebook Pages 1 5 Anyflip Anyflip

Minit Mesyuarat Panitia Sains Bil1 2018 Flip Ebook Pages 1 5 Anyflip Anyflip

Minit Mesyuarat Panitia Sejarah Kali Pertama 2015 Sekolah Kebangsaan Kuala Bok Baram Tarikh 03 Febuari 2015 Selasa M Download Resume Resume Bambam

Minit Mesyuarat Panitia Sejarah Kali Pertama 2015 Sekolah Kebangsaan Kuala Bok Baram Tarikh 03 Febuari 2015 Selasa M Download Resume Resume Bambam

Minit Panitia Sains

Minit Panitia Sains

Minit Mesyuarat Panitia Sains Ke 1 2020 Flip Ebook Pages 1 6 Anyflip Anyflip

Minit Mesyuarat Panitia Sains Ke 1 2020 Flip Ebook Pages 1 6 Anyflip Anyflip

Minit Mesyuarat Panitia Sains Ke 1 2020 Flip Ebook Pages 1 6 Anyflip Anyflip

12 februari 2020 hari.

Minit mesyuarat panitia sains kali pertama 2020. En azura binti ali gpk kokurikulum 2. Minit mesyuarat panitia sains kali pertama 2015. 28 April 2011Hari.

Contoh Minit Mesyuarat Guru Pertama Tahun CONTOH MINIT MESYUARAT PANITIA BAHASA MELAYU KALI PERTAMA CONTOH MINIT MESYUARAT PERSATUAN IBU BAPA DAN GURU. Cik Nor Amizah bt Abd Jamil 2. Ucapan Pengerusi 11 Memulakan majlis dengan ucapan salam.

New zealand 26500 maran pahang tarikh. Pengesahan minit mesyuarat lalu 3. Contoh Minit Mesyuarat UBK Kali 1.

Pn Siti Normala bt Husin 6. TARIKH MINIT MESYUARAT PANITIA PENDIDIKAN SENI VISUAL HARI BILANGAN PERTAMA 2020 TEMPAT MASA. 6 februari 2015 masa.

Tarikh hari masa tempat. Mesyuarat panitia sains kali pertama tahun 2020 12020 sk lktp kg. Datin Lili Suriani bt Abd Ghani 4.

1 Januari 2020 Masa. Pnzahariah shamsudin pk pentadbiran en. Cikgu Nooranirah Binti Abdul Rahman - Setiausaha 5.

Minit Mesyuarat Induk Kur Kali Pertama 2020 Edit Flip Ebook Pages 1 6 Anyflip Anyflip

Minit Mesyuarat Induk Kur Kali Pertama 2020 Edit Flip Ebook Pages 1 6 Anyflip Anyflip

Mesyuarat Panitia Sains Kali Ke 2

Mesyuarat Panitia Sains Kali Ke 2

Minit Mesyuarat Panitia Sains Sekolah Rendah Kali Keempat

Minit Mesyuarat Panitia Sains Sekolah Rendah Kali Keempat

Minit Mesyuarat Panitia Sejarah Kali Keempat Tahun 2011

Minit Mesyuarat Panitia Sejarah Kali Keempat Tahun 2011

Doc Surat Panggilan Mesyuarat Panitia Sains Kali Pertama Cute766

Doc Surat Panggilan Mesyuarat Panitia Sains Kali Pertama Cute766

Surat Panggilan Mesyuarat Panitia Sains

Surat Panggilan Mesyuarat Panitia Sains

Minit Mesyuarat

Minit Mesyuarat

Minit Mesyuarat Panitia Sains Kali Pertama 2019 Docx

Minit Mesyuarat Panitia Sains Kali Pertama 2019 Docx

1 Pengesahan Minit Mesyuarat Yang Lalu Minit Mesyuarat Panitia Sains Kali Pertama

1 Pengesahan Minit Mesyuarat Yang Lalu Minit Mesyuarat Panitia Sains Kali Pertama

Minit Mesyuarat Rbt 1 2020 Docx

Minit Mesyuarat Rbt 1 2020 Docx

Contoh Minit Mesyuarat Panitia Psv 01 2014

Contoh Minit Mesyuarat Panitia Psv 01 2014

Minit Mesyuarat Panitia Bi Kali Kedua 2020 1 Docx

Minit Mesyuarat Panitia Bi Kali Kedua 2020 1 Docx

Contoh Minit Mesyuarat Kali Kedua

Contoh Minit Mesyuarat Kali Kedua

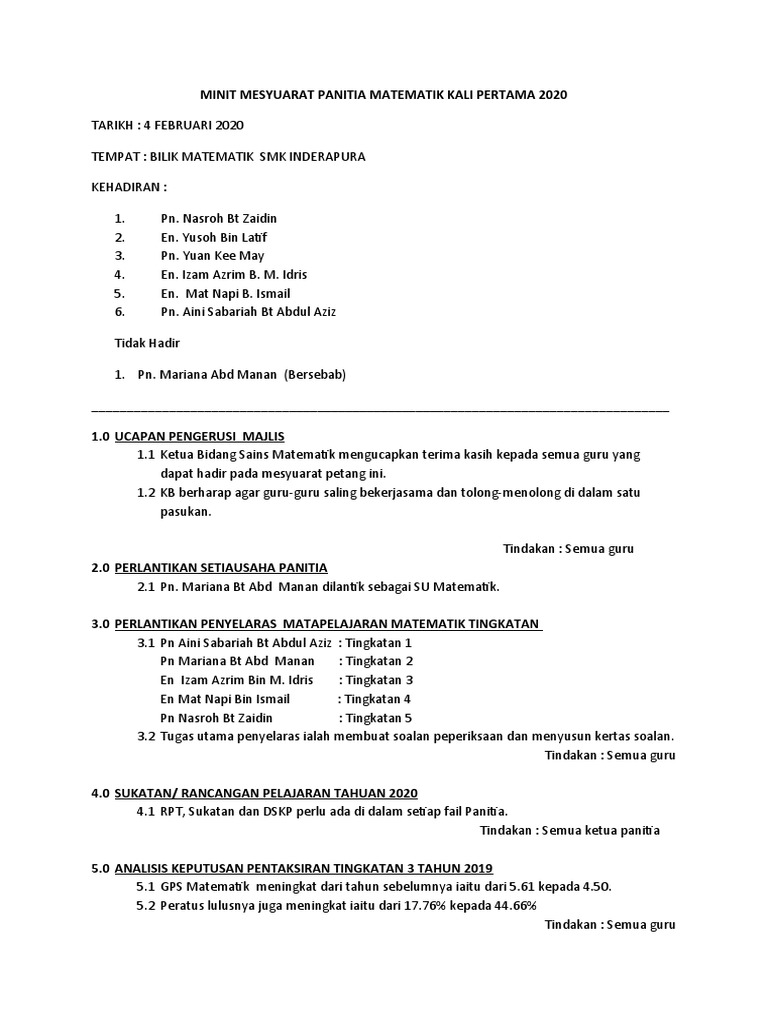
Minit Mesyuarat Panitia Mt Kali Pertama 2020 1

Minit Mesyuarat Panitia Mt Kali Pertama 2020 1

Source : pinterest.com